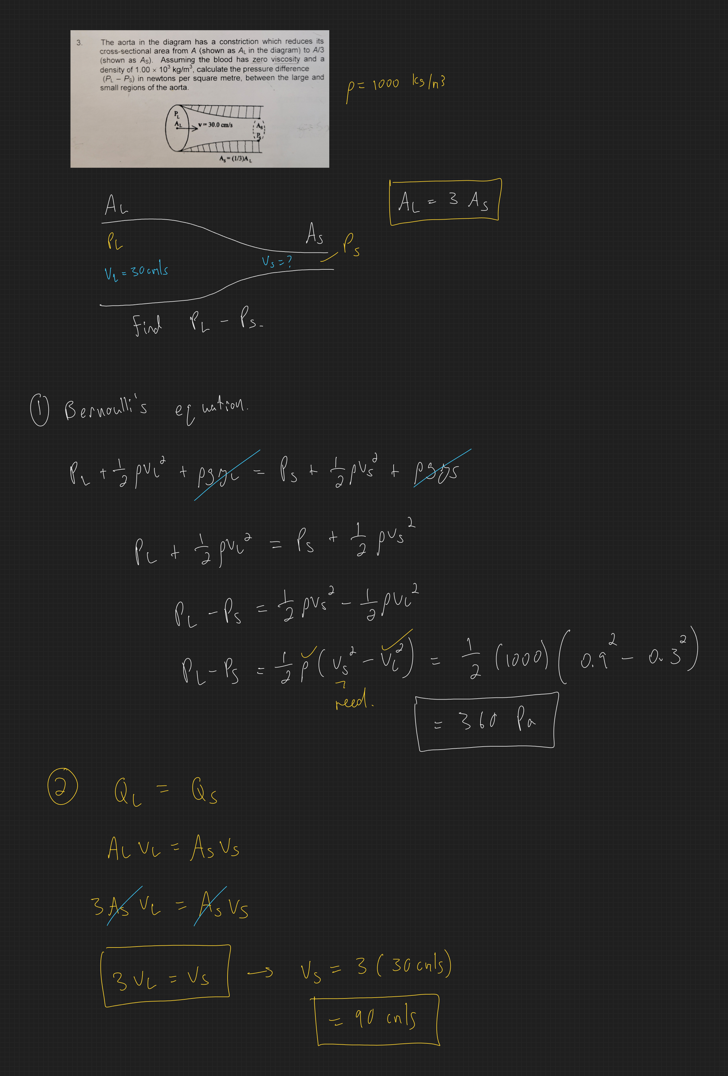
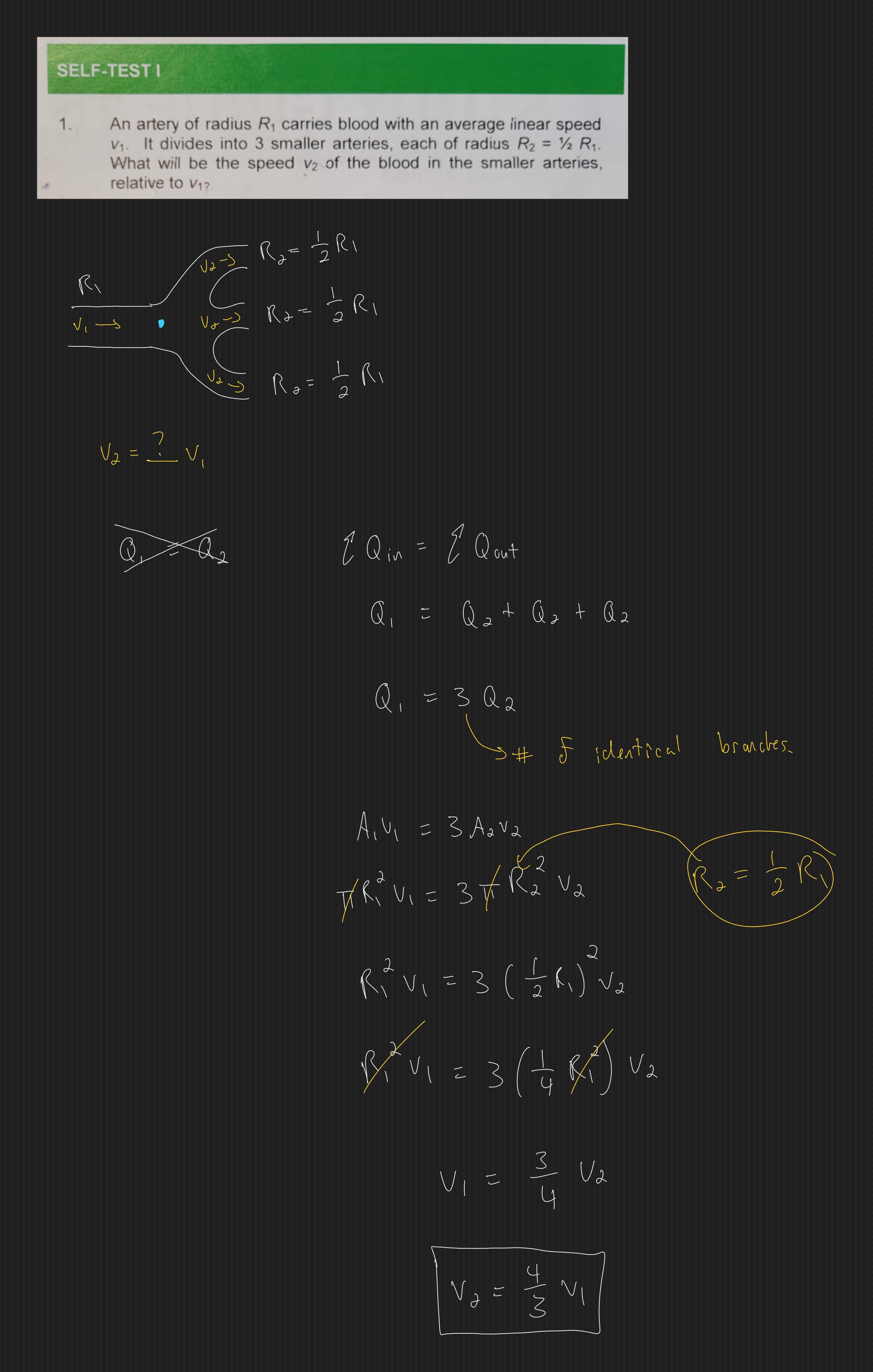
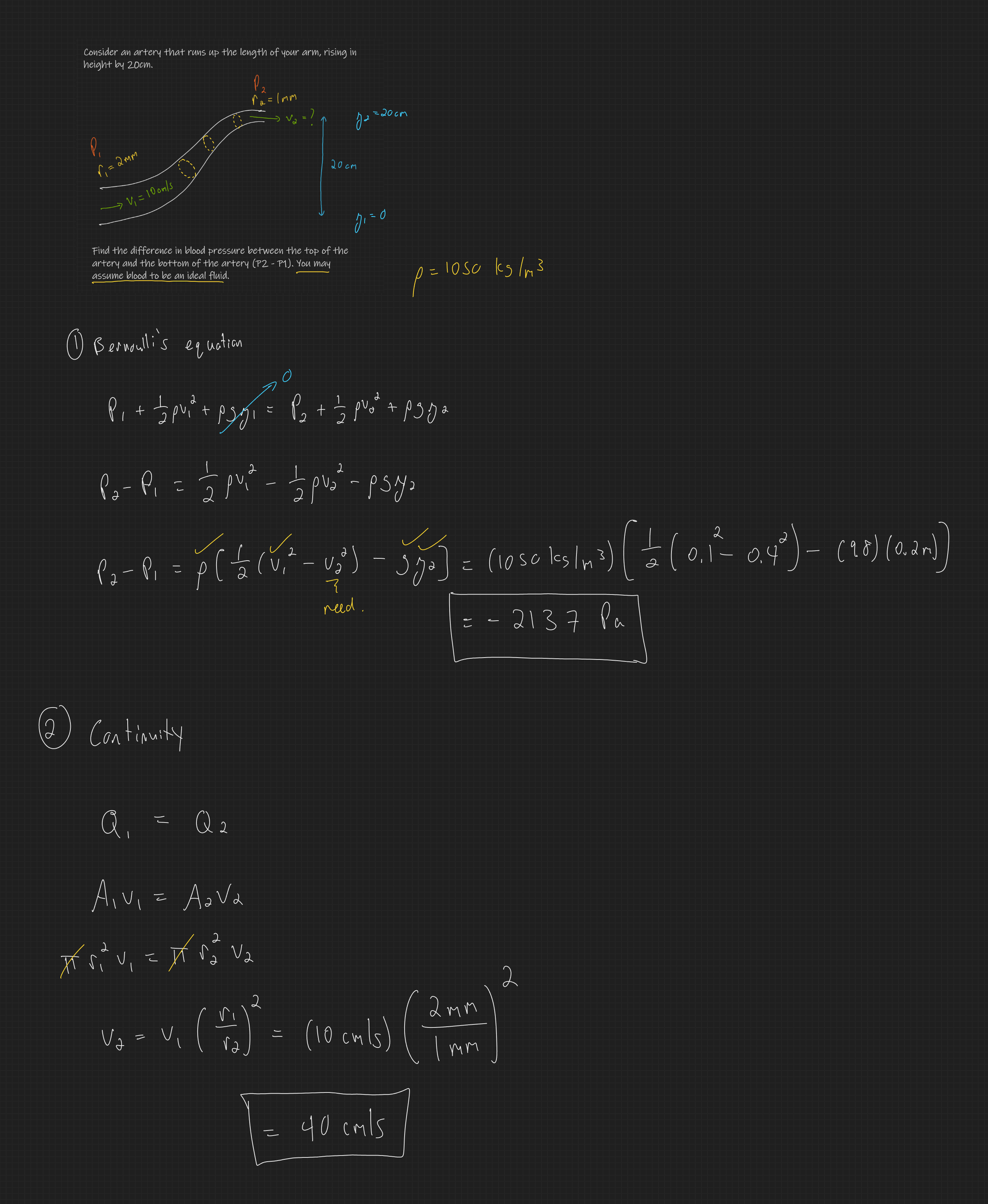
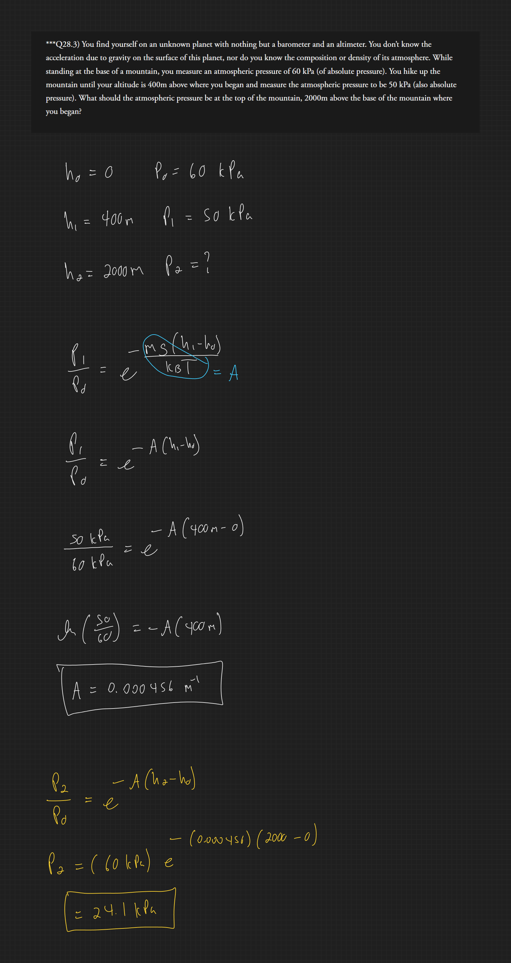
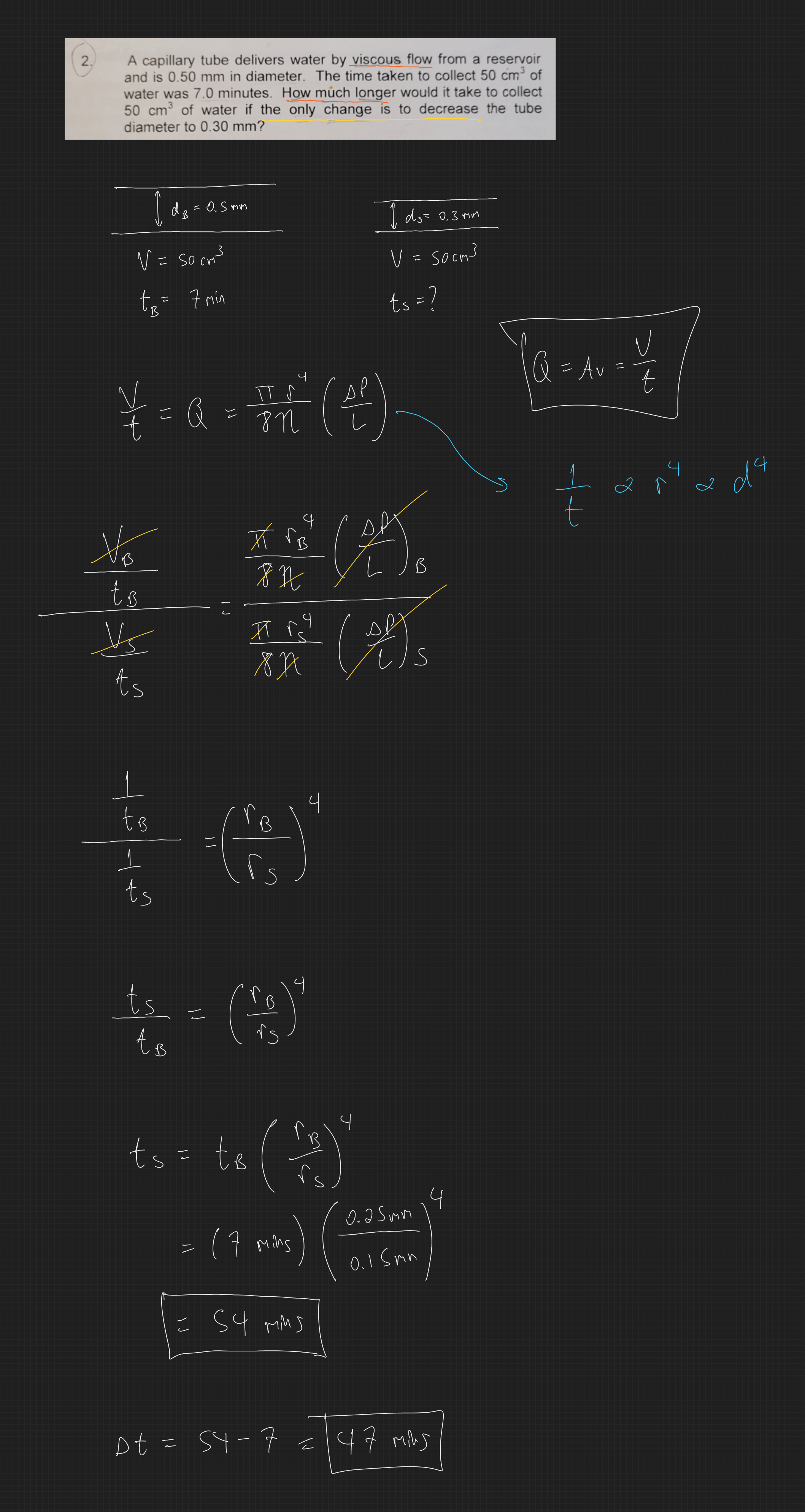
Hand-written notes from PHYS1080 Tutorial Week 7March 4th & 6th, 2025 View fullsize View fullsize View fullsize View fullsize View fullsize View fullsize View fullsize View fullsize View fullsize View fullsize View fullsize View fullsize View fullsize View fullsize View fullsize View fullsize View fullsize View fullsize View fullsize