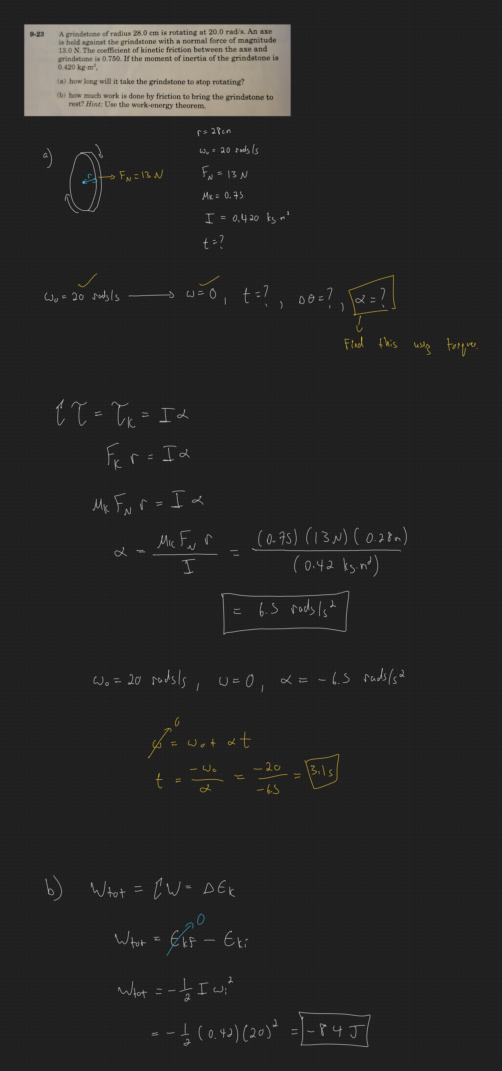
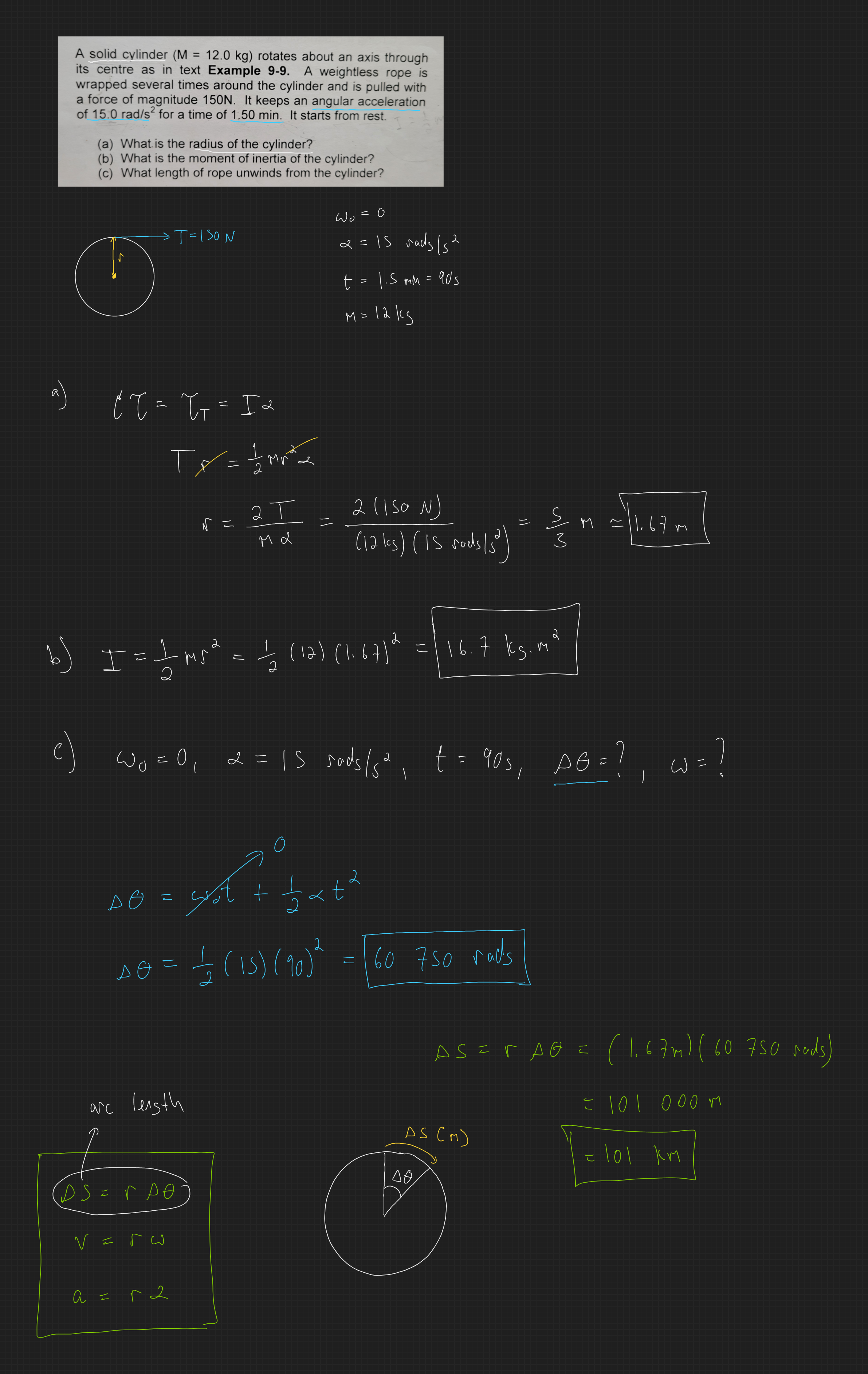
Hand-written notes from PHYS1080 Tutorial Week 4

February 4th & 6th, 2025