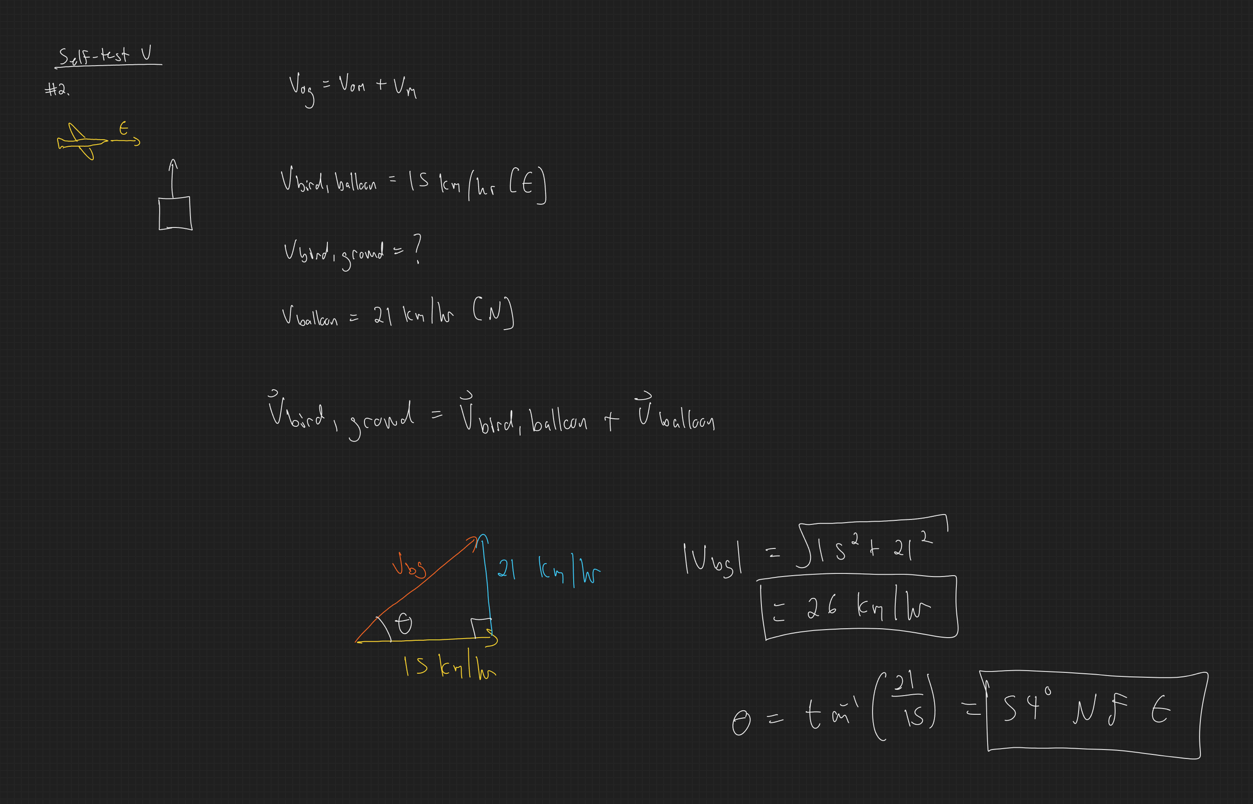
Hand-written notes from PHYS1080 Tutorial Week 2

January 21st & 23rd, 2025