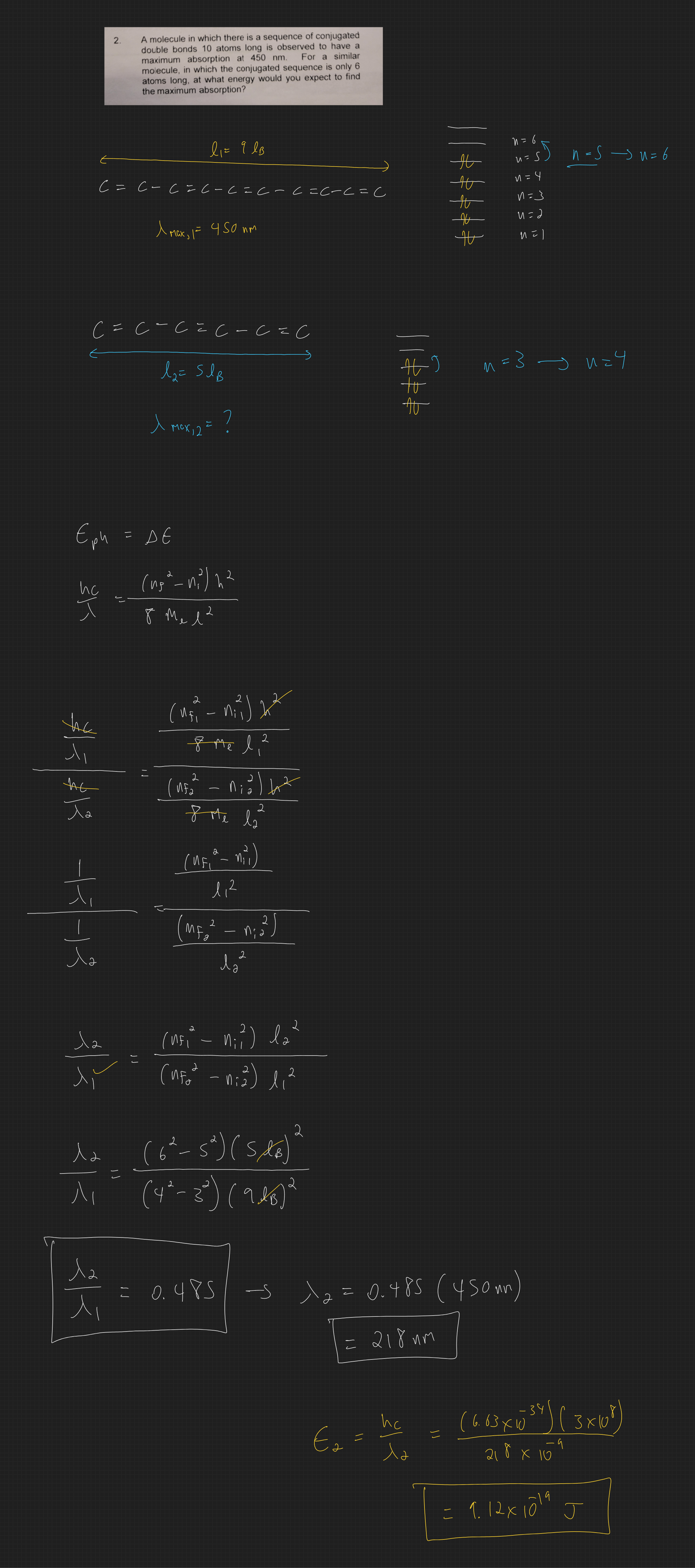
Hand-written notes from PHYS1070 Tutorial Week 7March 4th & 6th, 2025 View fullsize View fullsize View fullsize View fullsize View fullsize View fullsize View fullsize View fullsize View fullsize View fullsize View fullsize