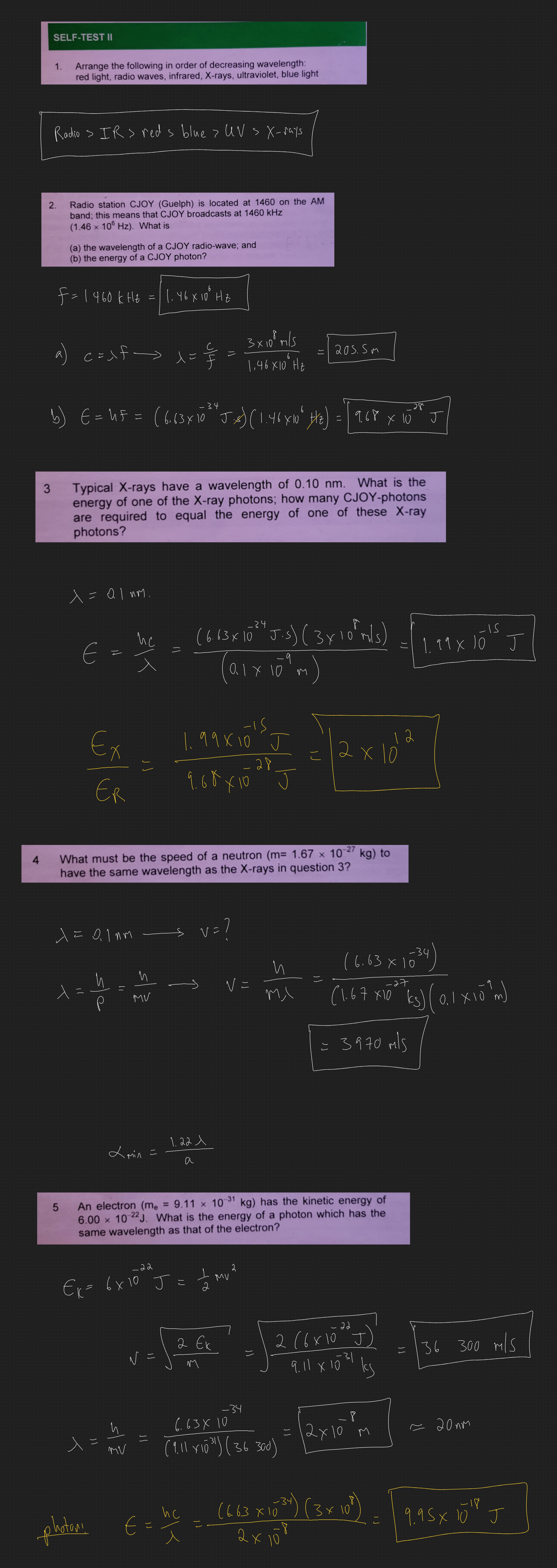
Hand-written notes from PHYS1070 Tutorial Week 5

February 11th & 13th, 2025