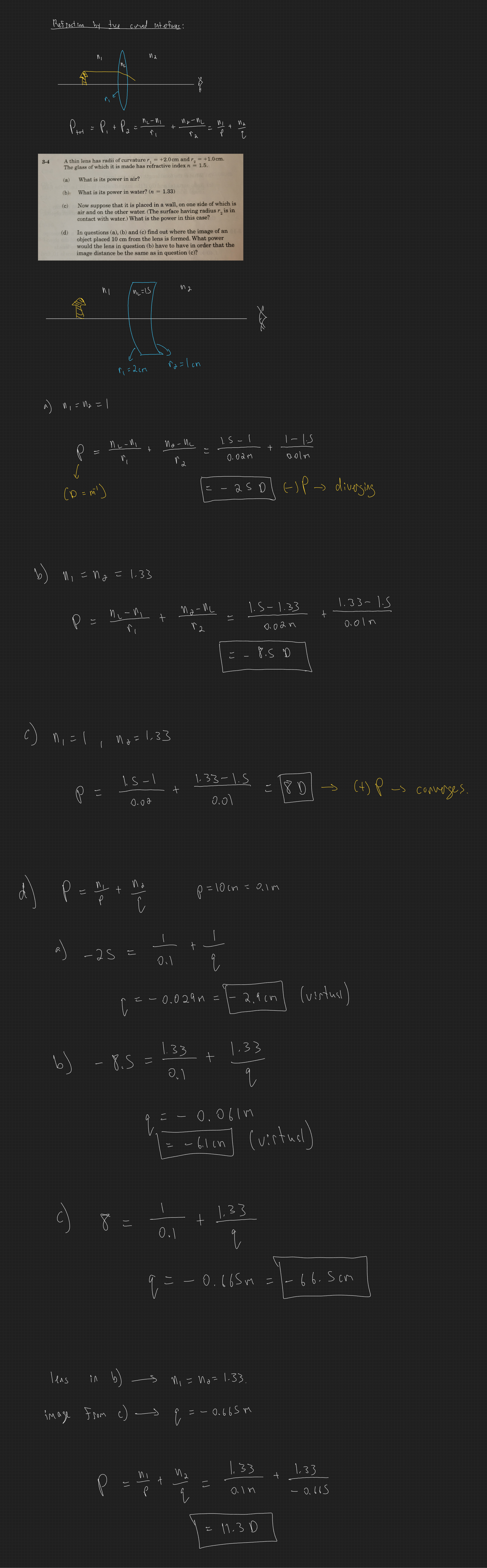
Hand-written notes from PHYS1070 Tutorial Week 3

January 28th & 30th, 2025