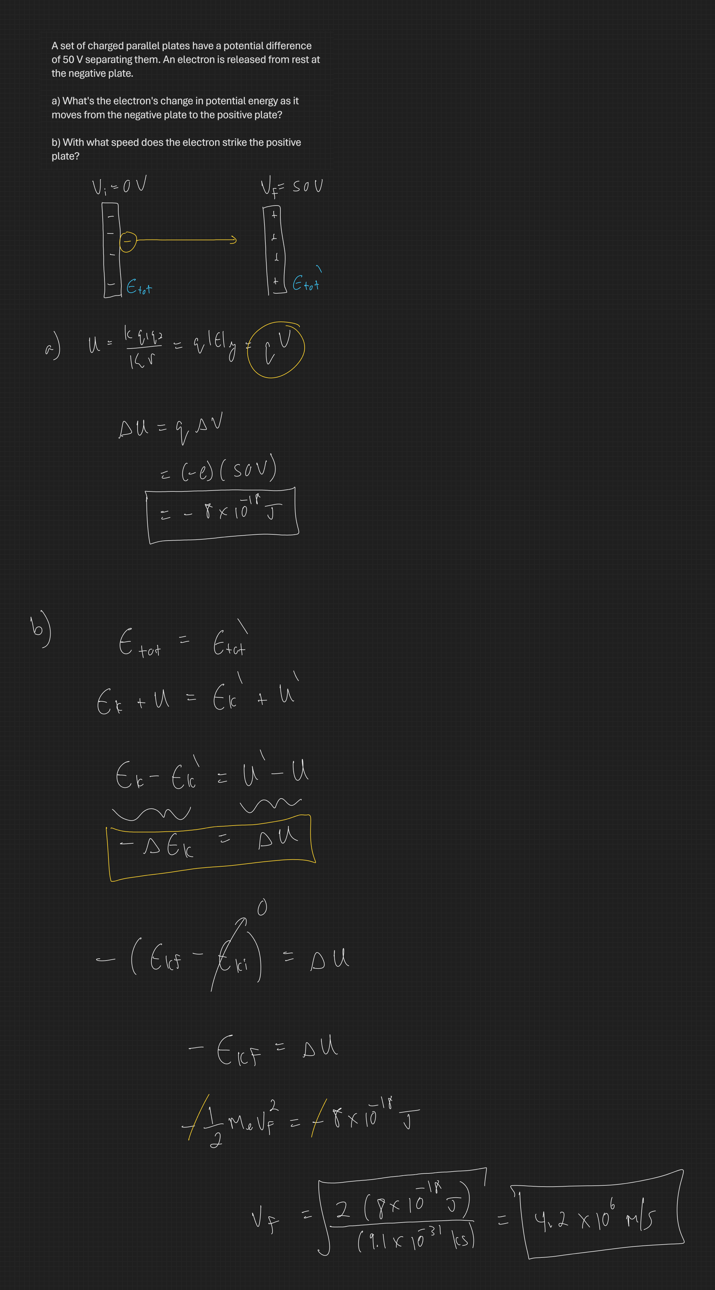
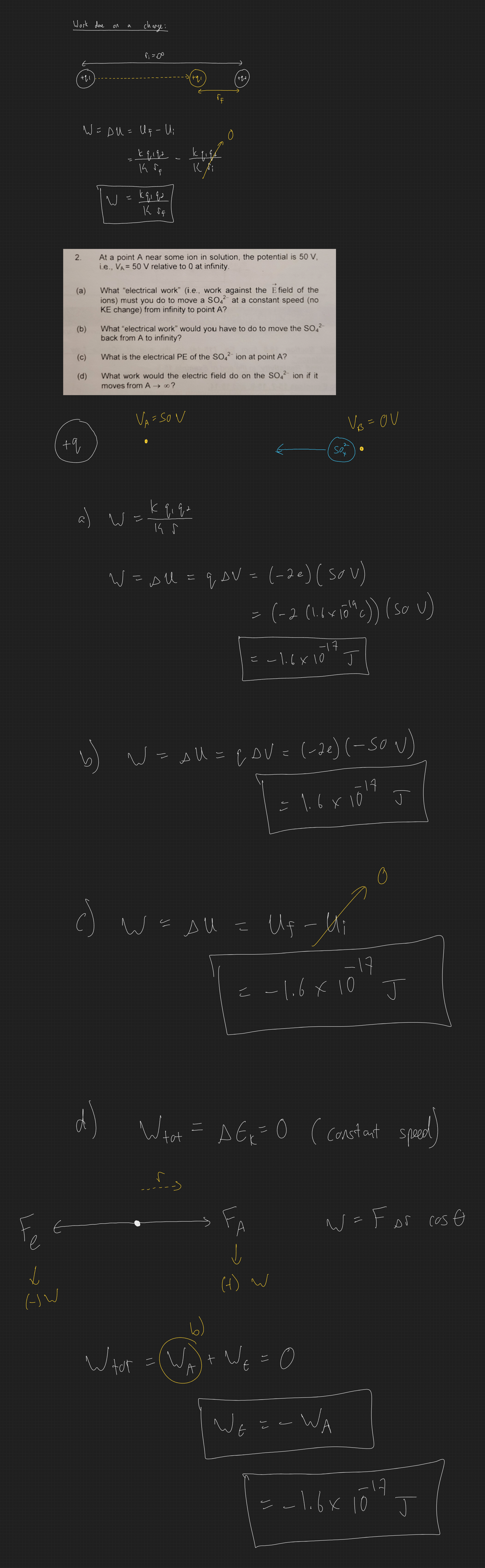
Hand-written notes from PHYS1070 Tutorial Week 10March 25th & 27th, 2025 View fullsize View fullsize View fullsize View fullsize View fullsize View fullsize View fullsize View fullsize View fullsize View fullsize